Заявка на подписку:

a.suhodolova@panor.ru

По всем вопросам звоните:

+7 495 274-22-22

УДК: 636.085:636.087 DOI:10.33920/sel-05-2203-05

Однородность комбикорма: объективная оценка продукции

Объективная оценка однородности комбикормовой продукции

Н. М. Костомахин д-р биол. наук, профессор, ФГБОУ ВО «Российский государственный аграрный университет – МСХА имени К. А. Тимирязева», Россия, г. Москва, E-mail: kostomakhin@mail.ru
А. С. Спесивцев инженер, Россия, г. Москва, E-mail: assps775@mail.ru

Правильное кормление оказывает решающее воздействие на рост, развитие, здоровье и продуктивность сельскохозяйственных животных. В этой связи роль методик, корректно оценивающих вариабельность распределения компонентов в рационах животных, ни у кого не вызывает сомнения. Вполне закономерно, что результаты, получаемые при использовании разных методик, могут различаться, т. е. не быть сопоставимыми. Устранить эту коллизию возможно только в том случае, если принять единую методику, дающую аутентичные и воспроизводимые результаты. При этом необходимо, чтобы все ее положения были научно обоснованы и не допускали никакого двоякого толкования. На примере методики определения однородности продукции комбикормовой промышленности авторы приводят убедительную доказательную базу (расчеты, таблицы), что объективную методику создать возможно, если базироваться на научно обоснованных постулатах: масса и число выборок, с которыми соотносится значение коэффициента вариации V Скмп распределения компонентов в комбикормовой продукции. Они должны быть строго регламентированы; любое произвольно выбранное значение коэффициента вариации распределения компонентов в выборках концентратов и премиксов не гарантирует последующее производство высокоэффективных кормов. Значение V Скмп должно быть таким, чтобы с использованием этих продуктов можно было произвести высокоэффективные корма. В высокоэффективных кормах необходимо контролировать вариабельность распределения в выборках всех без исключения компонентов. Помимо этого авторами предложены альтернативные критерии вариабельности распределения компонентов в выборках (рационах). Приведены необходимые для расчета формулы, примеры расчетов, таблицы, имеющие практическое значение. Должная координация работы по совершенствованию действующих нормативных документов уже в ближайшие годы позволит обеспечить производство высокоэффективной комбикормовой продукции и отказаться от большей части сверхзатратного импорта.

Литература:

1. Актуальные проблемы применения биологически активных веществ и производства премиксов / Т. М. Околелова, А. В. Кулаков, С. А. Молоскин, Д. М. Грачев. – Сергиев Посад: ВНИТИП, 2002. – 284 с.

2. Афанасьев В. А. Руководство по технологии комбикормов, белково-витаминно-минеральных концентратов и премиксов / В. А. Афанасьев. – Воронеж: ВНИИКП. – Т. 2. – 2008. – 295 с.

3. Комбикорма разных производителей для поросят и их сравнительная оценка // Н. И. Кульмакова, Т. А. Магомадов, Н. М. Костомахин и др. // Главный зоотехник. – 2021. – № 11 (220). – С. 3–12. DOI: 10.33920/sel-03-2111-01.

4. Костомахин Н. Основные принципы составления кормовой смеси в молочном скотоводстве // Н. Костомахин // Главный зоотехник. – 2013. – № 5. – С. 4–8.

5. Костомахин Н. М. Использование свойств распределения Пуассона в производстве высокоэффективных кормов / Н. М. Костомахин, А. С. Спесивцев // Кормление сельскохозяйственных животных и кормопроизводство. – 2020. – № 8. – С. 7–22. DOI: 10.33920/sel05-2008-01.

6. Макарцев Н. Г. Кормление сельскохозяйственных животных. – 3-е изд., перераб. и доп. / Н. Г. Макарцев. – Калуга: Ноосфера, 2012. – 641 с.

7. Правила организации и ведения технологических процессов производства продукции комбикормовой промышленности. – Воронеж: ВНИИКП, 1997. – 256 с.

8. Спесивцев А. Практические вопросы производства премиксов / А. Спесивцев, А. Антипов // Комбикорма. – 2010. – № 6. – C. 54–58.

9. Спесивцев А. С. Корма с оптимальными вариациями биологически активных веществ в рационах цыплят-бройлеров / А. С. Спесивцев // Кормление сельскохозяйственных животных и кормопроизводство. – 2018. – № 3. – С. 53–66.

10. Фисинин В. И. Оптимальный гранулометрический состав премиксов при производстве высококачественной комбикормовой продукции / В. И. Фисинин, А. А. Антипов, А. С. Спесивцев // Проблемы биологии продуктивных животных. – 2010. – № 3. – С. 96–110.

11. Feed Manufacturing Technology IV. – American Feed Industry Association, Inc., 1994. – P. 131–139.

12. Pokładowe mierniki-wskaźniki do monitorowania stanu technicznego ciągników energochłonnych / N. M. Kostomakhin, V. I. Tseiko, M. N. Kostomakhin et al. // В сб.: Под науч. ред. Вацлава Романюка. – Варшава, 2021. – С. 71–82.

13. Safety and quality of feed for piglets. / N. Kulmakova, T. Magomadov, N. Kostomahin et al. // IOP Conference Series: Earth and Environmental Science. Сер. «International AgroScience Conference, AgroScience 2021». – 2021. – С. 012012. DOI: 10.1088/1755-1315/935/1/012012.

Актуальность темы

Правильное кормление оказывает решающее воздействие на рост, развитие, здоровье и продуктивность сельскохозяйственных животных [3, 4, 6, 13]. Полноценное кормление зависит от сбалансированности рационов, которые должны в полной мере удовлетворять потребности животных в питательных и биологически активных веществах (БАВ), недостаток или избыток которых приводит не только к перерасходу кормов, на 60–70 % определяющих себестоимость животноводческой продукции, но зачастую и вреден как для самих животных, так и потребителей животноводческой продукции. В этой связи роль методик, корректно оценивающих вариабельность распределения компонентов в рационах животных, ни у кого не вызывает сомнения. Вполне закономерно, что результаты, получаемые при использовании разных методик, могут различаться, т. е. не быть сопоставимыми. Устранить эту коллизию возможно только в том случае, если принять единую методику, дающую аутентичные (достоверные) и воспроизводимые (одинаковые или близкие при повторных испытаниях) результаты. При этом необходимо, чтобы все положения были строго научно обоснованы и не допускали никакого двоякого толкования [12].

Возможно ли подобную методику создать? Рассмотрим это на примере одной из самых известных и ежедневно многократно используемых на каждом комбикормовом предприятии: «Методика определения однородности продукции комбикормовой промышленности» [7]. Попытаемся дать ответы на поставленные вопросы, проанализировав все основные положения этого нормативного документа.

На многие поставленные нами вопросы можно найти ответы, если взглянуть на табл. 1. Исходные данные для расчета значений в которой заимствованы из источников [1, 7]. Все расчеты базируются на известных свойствах распределения Пуассона [5, 8, 10, 11].

Примечание: * Компонент «носитель микроэлементов» (выделен жирным шрифтом); ** Vc (%) – коэффициент вариации распределения компонентов в рационах; с (%) – доля массы частицы Рср (г) к уровню ввода в рацион mКМПрац(г/рац.); n (%) – число рационов, в которых компоненты могут отсутствовать в зависимости от M в (г) – массы рационов корма животных.

Даже беглый взгляд на табл. 1 позволяет сделать вывод, что ни один компонент (любое другое вещество) не может быть индикатором для определения вариабельности других компонентов и однородности комбикормов в целом.

При производстве высокоэффективных кормов необходимо контролировать вариабельность распределения в рационах всех без исключения компонентов, что возможно, если использовать функциональную зависимость [5]:

Совершенно иного подхода требует регламентация вариабельности распределения компонентов в концентратах и премиксах (табл. 2). Никакое конкретное значение коэффициента вариации распределения компонентов в выборках этой продукции нельзя считать оптимальным и универсальным на все случаи жизни. Но выход из этой коллизии, безусловно, есть. Если нам поставлена задача произвести премикс, пригодный для выработки высокоэффективных кормов для животных, суточный рацион которых (MB) равен – 20 г с оценкой «отлично»

то для производства 0,5 %-ных премиксов потребуются компоненты, которые будут распределяться в выборках

(смотри табл. 2, строка 11, столбцы 3 и 1). Если этот корм планируется производить, используя 30 %-ные концентраты, то коэффициент вариации распределения компонентов в пробах

должен быть менее или равен 1,64 % (смотри табл. 2, строка 11, столбцы 3 и 2).

Для упрощения расчетов преобразуем выражение 2:

Если значение dср измерять в микронах (мк), выражение примет следующий вид:

Для примера рассчитаем значение с (%) в рационах MB = 20 г для следующих компонентов: CoSO4×7H2O; CoСO3; CoCl2×6H2O; CuSO4×5H2O и Na2SeO3 (смотри табл. 1):

При этом стоит заметить, что функциональная зависимость для расчета коэффициента вариации распределения различных компонентов в любых выборках –

вытекающая из свойств распределения Пуассона:

полностью совпадает с функциональной зависимостью для расчета величины с, показывающей какую долю (%), составляет масса частицы компонента среднего размера Pср (г) от массы уровня ввода этого компонента в рацион

Если

масса частицы среднего размера совпадает с уровнем ввода компонента в рацион и количество частиц компонента равно количеству рационов.

Ранее для оценки высокоэффективных кормов нами было предложено использовать значения коэффициента вариации

распределения компонентов в выборках массой, равной суточному рациону животных [9]. В табл. 3 приведены значения

и с, соответствующие этим оценкам.

Еще одним критерием вариабельности, но в ограниченном диапазоне вариаций

может служить величина n (%) [9]:

Преобразуем выражение 6:

Если значение dср измерять в микронах (мк), выражение примет следующий вид:

Для примера рассчитаем значение n (%) для рациона корма MB= 20 г следующих компонентов: CoSO4×7H2O; CoСO3; CoCl2×6H2O; CuSO4×5H2O и Na2SeO3 (смотри табл. 1):

Функциональная зависимость, которую можно использовать для расчета значения n, показывающего число рационов (%) животных, в которых компоненты будут заведомо отсутствовать, ничем не отличается от функциональных зависимостей 4 и 5. Следовательно, можно записать:

Приведенные ниже табл. 4 и 5, зависимости между значениями с, n и

имеют большое практическое значение.

Например, вычислив значение с по приведенной формуле 3, можно по этим таблицам определить соответствующее ему значение

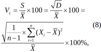
и n (если с > 100 %). Или, если вы по формуле 8 [2, 7] вычислили коэффициент вариации распределения какого-то компонента в пробах, проведя их анализ,

где S – стандартное отклонение;

– среднее значение массы дозируемых компонентов;

D – дисперсия или средний квадрат отклонений;

n – число наблюдений (проб);

Xi – текущее значение массы дозируемых компонентов, то, используя приведенные таблицы, без труда можно определить с (показывает долю в %, которую составляет масса частицы компонента среднего размера от уровня ввода этого компонента в пробу) и n (показывает процент проб, в которых компонент будет отсутствовать вовсе). Если сравнить соотношения значений

с и n в столбцах 7–9; 10–12 и 13–15 табл. 1 (вычисленные для конкретных компонентов) с соотношением этих значений в табл. 4 и 5 (вычисленные для любых компонентов), можно заметить, что они одинаковы, хотя для расчетов использовались различные функциональные зависимости, вытекающие из распределения Пуассона [9].

Подводя итоги изложенного выше, можно с уверенностью констатировать, что объективную методику определения однородности продукции комбикормовой промышленности создать возможно, если базироваться на следующих постулатах:

1. Масса и число выборок, с которыми соотносится значение коэффициента вариации

распределения компонентов в комбикормовой продукции, должны быть строго регламентированы. Биологический смысл имеет лишь значение коэффициента вариации распределения компонентов в рационах животных –

2. Любое произвольно выбранное значение коэффициента вариации распределения компонентов в выборках концентратов и премиксов

не гарантирует последующее производство высокоэффективных кормов. Значение

должно быть таким, чтобы с использованием этих продуктов можно было произвести высокоэффективные корма.

3. В высокоэффективных кормах необходимо контролировать вариабельность распределения в рационах животных всех без исключения компонентов.

Заключение

Ни у кого не вызывает сомнения, что первоочередной задачей специалистов, руководителей и собственников комбикормовых предприятий является производство конкурентоспособной, востребованной на рынке продукции с минимальными затратами. И все, безусловно, уверены, что именно на это должны быть направлены существующие нормативные документы (НД), в т. ч. различные методики, ГОСТы, правила, и т. п. Это, несомненно, возможно на базе существующего уровня научно-технических знаний. Должная координация работы по совершенствованию действующих НД уже в ближайшие годы позволит обеспечить производство высокоэффективной комбикормовой продукции и отказаться от большей части сверхзатратного импорта.

КОРОТКО О ВАЖНОМ

ВЛАДЕЛЬЦЫ ЛИЧНЫХ ПОДСОБНЫХ ХОЗЯЙСТВ СМОГУТ ПОЛУЧАТЬ ГОСПОДДЕРЖКУ

Премьер-министр М. Мишустин внес изменения в госпрограмму развития сельского хозяйства и регулирования рынков сельхозпродукции, сырья и продовольствия, чтобы дать доступ к господдержке владельцам личных подсобных хозяйств, зарегистрированным в качестве самозанятых. С 2022 г. они вправе рассчитывать на субсидии, предоставляемые отрасли правительством. Этими средствами «частники» смогут компенсировать часть расходов, понесенных для прироста производства овощей открытого грунта, картофеля, молока, при развитии специализированного мясного скотоводства, овцеводства и козоводства.

Принятое решение, рассчитывают в правительстве, поддержит самозанятых, которые держат личные подсобные хозяйства, будет способствовать наращиванию производства овощей, молока и мяса, насыщению российского рынка продукцией отечественного производства.

Источник: https://rg.ru

Язык статьи:
Действия с выбранными: