Заявка на подписку:

p.sokolov@panor.ru

По всем вопросам звоните:

+7 495 274-22-22

УДК: 621.315.1

Методика расчета потерь в воздушной линии электропередачи с учетом токов утечки по изоляторам

Шевченко Н. Ю. канд. техн. наук, доцент, Камышинской технологический институт (филиал) ФГБОУ ВО «Волгоградский государственный технический университет», Волгоградская область, г. Камышин
Зенина О. А. студентка 4-го курса, Камышинской технологический институт (филиал) ФГБОУ ВО «Волгоградский государственный технический университет», Волгоградская область, г. Камышин
Тихонин С. Н. студент 4-го курса, Камышинской технологический институт (филиал) ФГБОУ ВО «Волгоградский государственный технический университет», Волгоградская область, г. Камышин

Проанализирован процентный состав потерь в воздушной линии электропередачи напряжением 110 кВ и выявлено, что потери электроэнергии от токов утечки по изоляторам соизмеримы с потерями на коронный разряд. Экспериментальным путем определены сопротивления стеклянных изоляторов для разных погодных условий. Рассчитаны потери электроэнергии от токов утечки по изоляторам по данным, полученным экспериментальным путем и по справочным данным. Результаты расчетов отличаются на 12,65%. Предложена методика расчета потерь в воздушной линии электропередачи с учетом токов утечки по изоляторам.

Литература:

1. Железко Ю.С., Шаров Ю.В., Зарудский Г.К., Сипачева О.В., Шведов Г.В. Потери электроэнергии в электрических сетях: основные сведения,расчет и нормирование: учеб. пособие. – М.: Изд. дом МЭИ, 2007. – 128 с.

2. Железко Ю.С., Артемьев А.В., Савченко О.В. Расчет анализ и нормирование потерь электроэнергии в электрических сетях. – М.: Изд-во НЦ«ЭНАС», 2005. – 277 с.

3. Зенина О.А., Тихонин С.Н., Бахтиаров К.Н., Галущак В.С. Расчет потерь мощности в изоляторах ЛЭП на токи утечки. Энергоэффективность и энергобезопасность производственных процессов (ЭЭПП–2019): сб. тр. V Всерос. науч.-техн. конф. студентов, магистрантов, аспирантов (г. Тольятти, 12–13 ноября 2019 г.) / отв. за вып.: В.В. Вахнина; ФГБОУ ВО «Тольяттинский гос. ун-т», Ин-т химии и энергетики, Каф. «Электроснабжение и электротехника». – Тольятти, 2019. – C. 66–70.

4. Герасименко А.А., Федин В.Т. Передача и распределение электрической энергии: учеб. пособие. – Ростов-на-Дону, 2006. – 720 с.

Повышение энергоэффективности электрических сетей является одним из приоритетных направлений в электроэнергетике. Одним из путей решения данной задачи является снижение потерь электроэнергии. Электрическая энергия является единственным продуктом, для перемещения которого от места производства до места потребления не требуются другие ресурсы. Для ее передачи расходуется часть самой передаваемой электроэнергии, поэтому ее потери неизбежны. Оценка этих потерь в воздушных линиях электропередачи является важной составляющей для экономической оценки линии. В работе представлены расчеты ожидаемых потерь в воздушных линиях электропередачи с учетом токов утечки по изоляторам. Полученные результаты могут быть полезны при проектировании или реконструкции воздушных линий электропередачи напряжением 35 кВ и выше.

Разработка методики расчета потерь электроэнергии в воздушных линиях электропередачи (ВЛ) позволит определить допустимые нормы потерь электроэнергии.

Цель работы: экспериментальным путем определить сопротивление изоляторов при разных погодных условиях и рассчитать потери от токов утечки. Данные расчеты сравнить со справочными данными. Проанализировать структуру потерь электроэнергии в линии 110 кВ.

Возьмем условную одноцепную ВЛ 110 кВ, расположенную в Камышинском районе Волгоградской области, длиной в один километр, провод АС 120/19, опоры железобетонные.

Потери электроэнергии в линии складываются из нагрузочных потерь в проводах, потерь на коронный разряд и потерь в изоляторах от токов утечки. Расход электроэнергии на плавку гололеда в работе не учитывался [2].

ОПРЕДЕЛЕНИЕ ПОТЕРЬ ЭЛЕКТРОЭНЕРГИИ В ИЗОЛЯТОРАХ ЭКСПЕРИМЕНТАЛЬНЫМ ПУТЕМ

Потери электроэнергии в изоляторах относятся к техническим потерям, так как они обусловлены физическими процессами, протекающими при передаче электрической энергии. Для их расчета экспериментальным путем были определены сопротивления стеклянных изоляторов. Опыт проводился на базе метрологической лаборатории с использованием следующего оборудования:

• Изолятор стеклянный ПС-70.

• Аппарат испытания диэлектриков АИД-70.

• Миллиамперметр Д5098.

Упрощенная схема подключения приборов изображена на рис. 1 [3].

Рис. 1. Схема подключения приборов

Лабораторные испытания проводились с одним, двумя и тремя изоляторами при диапазоне напряжения от 10 до 40 кВ.

Для получения результатов эксперимента, приближенных к реальным, изоляторы были покрыты искусственно созданным слоем пыли. Также производились замеры у влажных изоляторов.

С помощью миллиамперметра были определены токи утечки по изоляторам, что позволило по общим законам электротехники рассчитать значение сопротивлений изоляторов.

Сопротивления рассчитывалась, исходя из значения тока утечки и соответствующего напряжения.

где Iут – ток утечки через изоляторы;

U – напряжение, соответствующее току утечки.

Исходя из полученных результатов, было найдено среднее сопротивление для одного стеклянного изолятора ПС 70.

Данные опыта позволили определить сопротивление семи изоляторов, расположенных в одной гирлянде воздушной линии электропередачи (ВЛ) (табл. 1).

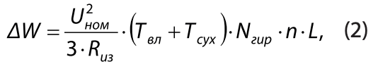
Потери электрической энергии в изоляторах ∆W рассчитываются по следующей формуле:

где Uном – номинально напряжение линии, 110 кВ;

Tвл – продолжительность в расчетном периоде влажной погоды, ч (табл.2);

Tсух – продолжительность в расчетном периоде сухой погоды, ч (табл. 2);

Nгир – число гирлянд из семи изоляторов, 3 шт.;

n – количество опор на 1 км, принято 5 опор на 1 км;

L – длина линии, 1 км.

Статистическим методом были определены средние значения погодных условий по Камышинскому району Волгоградской области за последние 5 лет. Полученные результаты отображены в табл. 2.

ТЕОРЕТИЧЕСКИЕ ПОТЕРИ ЭЛЕКТРОЭНЕРГИИ В ИЗОЛЯТОРАХ

Потери электроэнергии в изоляторах можно определить по табличным значениям из справочной литературы. Например, по табл. 3 [4] с учетом продолжительности различных видов погоды в течение расчетного периода, потери электроэнергии от токов утечки по изоляторам для ВЛ 110 кВ, расположенной в Волгоградской области протяженностью 1 км, составляют:

Сравнивая с данными, полученными экспериментальным путем, получаем, что результаты расчетом отличаются на 12,65%.

ПОТЕРИ ЭЛЕКТРОЭНЕРГИИ В ПРОВОДАХ

Наибольшая доля потерь при передаче электрической энергии приходится на потери в проводах. Потери можно разделить на две составляющие: нагрузочные, зависящие от тока нагрузки, и потери на коронный разряд.

Расчет ведется для воздушной линии электропередачи с характеристиками, указанными в табл. 3.

Нагрузочные потери электроэнергии проводов ВЛ определим методом времени наибольших потерь [4] по формуле:

где L – длина воздушной линии, км;

r0 – удельное сопротивление ВЛ, Ом/км;

Iнб – максимальная токовая нагрузка ВЛ, А. Примем Iнб = 300 А;

τ – время максимума потерь, определяемое по эмпирической формуле:

где Tнб – время использования максимума нагрузки

τ = (0,124 + 10–4 ∙ 5694)2 ∙ 8760 = 4211,8 ч.

Нагрузочные потери составили:

ΔWн = 283 ∙ 161,95 кВт∙ч.

Потери электроэнергии на корону ΔWк в линии определяются на основе данных об удельных потерях мощности [4], приведенных в справочной технической литературе, и о продолжительности видов погоды в течение расчетного периода по формуле:

где Тpi – продолжительность i-го вида погоды, ч;

ΔPki – удельные потери мощности на корону при i-м виде погоды, кВт/км;

ku кор – поправочный коэффициент на рабочее напряжение линии.

Удельные потери мощности на корону для одно цепной ВЛ напряжением 110 кВ с проводами АС 120/19, подвешенными на железобетонных опорах представлены в табл. 5.

Статистические данные о погодных условиях для Камышинского района представлены в табл. 6.

Полученные результаты расчетов отображены в табл. 7.

СУММАРНЫЕ ПОТЕРИ ЭЛЕКТРОЭНЕРГИИ В ЛИНИИ

Суммарные годовые потери электроэнергии в линии электропередачи равны:

Подставив все рассчитанные и справочные данные в (8), определим годовые потери в линии. Результаты расчетов представлены в табл. 8.

Потери электроэнергии в процентном соотношении в линии напряжением 110 кВ (провод АС-120/19, опоры железобетонные) можно распределить следующим образом: нагрузочные потери при токе 300 А составляют 98,97%; потери на корону – 0,48%, потери на токи утечки по изоляторам от 0,52% (теоретическое значение) до 0,55% (экспериментальное значение).

Из расчетов следует, что потери электроэнергии от токов утечки по изоляторам соизмеримы с потерями на корону при экспериментальном методе расчета.

Язык статьи:
Действия с выбранными: