Заявка на подписку:

a.suhodolova@panor.ru

По всем вопросам звоните:

+7 495 274-22-22

Интеллектуальное управление фазной несимметрией напряжений в системах электроснабжения электродуговых печей

В работе рассматривается проблема несимметрии напряжений в системах электроснабжения электродуговых печей, обусловленная их динамическим и нелинейным характером нагрузки. Показано, что даже при использовании трансформаторов с Δ-соединением остаточная несимметрия напряжений сохраняется на стороне питающей сети, что приводит к ухудшению качества электроэнергии и снижению энергетической эффективности. Предложен метод компенсации фазной несимметрии, основанный на индивидуальном управлении реактивной мощностью по фазам с помощью тиристорно-управляемых компенсационных устройств. Для оптимизации углов открытия тиристоров применён генетический алгоритм, обеспечивающий адаптивный поиск оптимальных параметров в условиях нелинейной и динамически изменяющейся нагрузки. Результаты моделирования подтверждают эффективность предложенного подхода и демонстрируют существенное снижение коэффициента несимметрии напряжений, а также улучшение показателей качества электроэнергии в системе электроснабжения электродуговой печи.

Литература:

1. Chang Fei, W. Yi, M. Hongming, Cao Fengmei (2016). Control Strategies of 35 kV Transformerless Delta Connection Chain STATCOM. High Voltage Engineering, pp. 121–126.

2. Xu Shukai, Q. Song, Wenhua Liu, L. Tong (2006). Research on Compensation for Electric Arc Furnace Using Measurement Field Data in Distribution Supply System.

3. Olczykowski Z. (2021). Electric Arc Furnaces as a Cause of Current and Voltage Asymmetry. Energies.

4. Grünbaum, R., & Pernot, J. (2008). SVC and STATCOM for grid disturbance mitigation from electric arc furnaces. Metallurgical Research & Technology.

5. Asymmetric Compensation of Reactive Power Using Thyristor-Controlled Reactors / M. Šapurov, V. Bleizgys, A. Baskys и др. // Symmetry. — 2020. — Т. 12. — С. 880.

6. PI Controller Based Automatic Power Factor Correction (APFC) Using Capacitor Bank / M.Y. Naqash, Z. Rashid // ECCE. — 2023. — Т. 19. — № 1. — С. 40–48.

7. Генетические алгоритмы как метод глобальной оптимизации / И.У. Рахмонов, Б.Б. Холихматов, А.П. Ильясов // Universum: технические науки. — 2024. — № 11(128).

8. Международный научный журнал «Интернаука» / И.У. Рахмонов, Б.Б. Холихматов, А.Г. Саидходжаев. — 2024. — № 43(360).

9. Математическое моделирование минимизации расходов электроэнергии промышленными предприятиями с непрерывным характером производства / И.У. Рахмонов и др. // Известия ТПУ. Инжиниринг георесурсов. — 2024. — Т. 335. — № 4. — С. 43–51. DOI: 10.18799/24131830/2024/4/4423.

Введение

Современные металлургические производства всё чаще используют электродуговые печи (ЭДП) как ключевые установки для выплавки металла благодаря их высокой мощности, гибкости в управлении и энергетической эффективности. Однако вместе с технологическими преимуществами ЭДП вносят в энергетическую систему ряд значительных нарушений. В первую очередь это касается фазной несимметрии напряжений, возникающей в результате неравномерного и импульсного характера нагрузки, а также колебаний реактивной мощности по фазам.

Несимметрие напряжение искажает форму напряжений и токов, приводит к ухудшению качества электроэнергии, вызывает неравномерный износ оборудования, снижает надёжность энергосистемы и ухудшает эффективность плавильного процесса. Особенно критично это становится при питании ЭДП от сетей среднего напряжения, где даже при применении трансформаторов с Δ-соединением сохраняются остаточные составляющие напряжений обратной последовательности.

Для устранения этих проблем применяются различные методы компенсации реактивной мощности — от статических компенсаторов (SVC, D-STATCOM) до интеллектуальных регуляторов. Однако их эффективность ограничивается либо инерционностью, либо жёсткой логикой управления. В этом контексте актуальным направлением становится применение методов интеллектуальной оптимизации, позволяющих адаптивно настраивать параметры системы в условиях реального времени и нелинейной динамики.

Актуальность

В данной работе предлагается метод оптимизации фазных углов открытия тиристоров в системе фазной компенсации ЭДП с использованием генетического алгоритма (ГА). Такой подход позволяет управлять потоками реактивной мощности в каждой фазе индивидуально и эффективно снижать несимметрию фазных напряжений.

Актуальность проводимого исследования обусловлена рядом критических факторов. Во-первых, с учётом стремительного роста применения электродуговых печей в промышленности возрастает потребность в устойчивых и надёжных решениях, обеспечивающих высокое качество электроснабжения. Во-вторых, существующие методы компенсации реактивной мощности и несимметрии напряжений зачастую не справляются с быстрыми и непредсказуемыми изменениями нагрузки, характерными для работы ЭДП. В таких условиях становится необходимым использование более гибких и интеллектуальных подходов. ГА, как метод глобальной оптимизации, обладает высокой эффективностью при поиске оптимальных параметров в многомерных, нелинейных и слабоформализованных системах. Его применение в управлении углами открытия тиристоров позволяет реализовать автоматизированную адаптивную компенсацию фазной несимметрии в реальном времени, что особенно важно для процессов, чувствительных к качеству напряжения.

Анализ современных методов компенсации фазной несимметрии

Проблема фазной несимметрии напряжений при питании ЭДП остаётся актуальной даже при применении трансформаторов с Δ-соединением на вторичной стороне. Несмотря на то, что Δ-соединение эффективно ограничивает циркуляцию токовой несимметрии, остаточная несимметрия фазных напряжений по-прежнему наблюдается на стороне питающей сети (например, 35 кВ), что подтверждено рядом современных исследований [5-6].

В работе Chang Fei et al. представлен анализ и разработка стратегий управления STATCOM при компенсации остаточной фазной несимметрии напряжений в сети 35 кВ, питающей ЭДП с трансформатором с Δ-соединением. Авторы показывают, что остаточная компонента напряжений обратной последовательности (negative sequence voltage) сохраняется и может быть значительно снижена за счёт применения STATCOM с фазно-зависимым управлением [1].

Работа Xu et al. демонстрирует практическое применение D-STATCOM в комплексе с пассивными фильтрами для компенсации мощности и улучшения качества электроэнергии в системе питания ЭДП. Авторы фиксируют существенное снижение фазной несимметрии напряжений на шинах 35 кВ после внедрения D-STATCOM [2].

Современное исследование Olczykowski также подчёркивает, что даже при использовании трансформаторов с Δ-соединением остаточная операционная несимметрия фазных напряжений измерима и значима. В работе предложен новый метод количественной оценки этого показателя в промышленных условиях, что подтверждает необходимость его учёта при проектировании систем компенсации [3].

В работах Grünbaum и Pernot была продемонстрирована высокая эффективность применения устройств SVC и STATCOM для компенсации фазной несимметрии и колебаний напряжения, вызванных работой ЭДП. Особенно хорошие результаты были достигнуты с использованием STATCOM, обладающего высокой скоростью отклика, что позволяет балансировать фазные напряжения в реальном времени. По результатам исследований, качество электроснабжения в сети улучшилось на 10–15 % [4].

Таким образом, несмотря на эффективность существующих методов, они недостаточно гибки для динамичных условий работы ЭДП. Это обосновывает необходимость применения адаптивного подхода. В настоящем исследовании для оптимизации углов открытия тиристоров предлагается использовать генетический алгоритм.

Метод

Целью данного исследования является повышение качества электроэнергии и улучшение энергетической эффективности системы за счёт снижения фазной несимметрии напряжений в системе электроснабжения ЭДП. Для этого в каждую нерабочую фазу подключаются конденсаторы, управление их подключением осуществляется посредством тиристоров. Оптимальный выбор угла открытия тиристоров производится с применением ГА.

Электродуговые печи являются неотъемлемой частью современных металлургических производств и представляют собой мощную динамическую трёхфазную нагрузку. Их эксплуатация сопровождается неравномерным распределением токов и напряжений по фазам, что приводит к возникновению фазной несимметрии напряжений в питающей сети.

Причины возникновения фазной несимметрии в системах ЭДП включают:

— резкие колебания величины и направления тока в каждой фазе в течение времени;

— различия в электропроводности, температуре и физических свойствах металла, находящегося в процессе плавки, по фазам;

— влияние неравномерной электромагнитной индукции, приводящее к фазовой асимметрии магнитных полей.

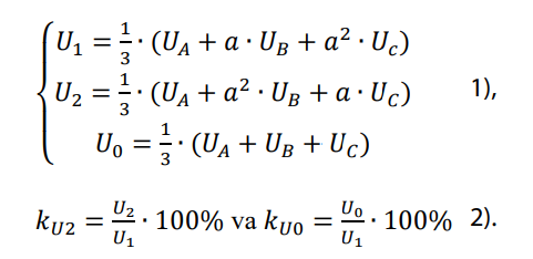
В подобных условиях ЭДП функционирует как нагрузка без нулевой точки, в результате чего наблюдаются значительные различия в потоках реактивной мощности по фазам. Для количественного анализа фазной несимметрии напряжений в таких системах используется разложение по составляющим:

— прямой последовательности,

— обратной последовательности,

— нулевой последовательности.

Определение уровня каждой из этих составляющих позволяет объективно оценить степень фазной несимметрии в системе электроснабжения ЭДП и выбрать адекватные методы её компенсации.

Распределение реактивной мощности по фазам регулируется через угол открытия α каждого тиристора.

Применяя описанный выше метод, удаётся снизить фазную несимметрию напряжений в системе электроснабжения ЭДП за счёт управления балансом реактивной мощности по фазам. Для этого конденсаторы, подключённые к каждой фазе, управляются индивидуально с помощью тиристоров. Угол открытия тиристора в каждой фазе подбирается в соответствии с текущим режимом нагрузки, обеспечивая необходимую степень компенсации. Оптимизация углов открытия выполняется на основе ГА, что позволяет значительно улучшить показатели качества электроэнергии. Основное преимущество применения ГА заключается в его способности эффективно решать задачи оптимизации в условиях сложных, нелинейных и динамически изменяющихся процессов. В электродуговой печи взаимосвязь между напряжением и реактивной мощностью обладает именно такими характеристиками. Для успешного функционирования ГА крайне важно выбрать адекватную функцию приспособленности (fitness function), определяющую критерии оптимизации:

Следующая блок-схема иллюстрирует последовательность этапов работы ГА:

Рис. 1. Блок-схема работы генетического алгоритма для оптимизации углов открытия тиристоров

ГА работает итеративно: сначала создаётся случайная начальная популяция, для каждого варианта вычисляется функция приспособленности (fitness function), затем отбираются лучшие образцы, и на их основе формируется новое поколение. С помощью мутации поддерживается генетическое разнообразие, и на каждом этапе итерации испытываются новые значения углов. Этот процесс повторяется до достижения оптимального решения [7–9].

Этап 1. Генерация популяции

На данном этапе формируется начальная популяция, содержащая N хромосом, каждая из которых представляет собой потенциальное решение задачи – набор управляющих параметров системы компенсации реактивной мощности по фазам. В данной задаче – это угол открытия тиристоров αA, αB, αC, а также соответствующие значения реактивной мощности и фазного напряжения в каждой фазе.

Каждая хромосома представляется в виде набора параметров:

где: QA, QB, QC — реактивная мощность по фазам; UA, UB, UC — фазные напряжения; αA, αB, αC – углы открытия тиристоров по фазам.

Этап 2. Вычисление функции приспособленности (fitness function)

На этом этапе работы ГА производится оценка качества каждого индивидуума в популяции с точки зрения поставленной задачи — минимизации фазной несимметрии напряжения в системе питания электродуговой печи.

Каждая хромосома в популяции представляет собой конкретный набор управляющих параметров и для каждого такого набора рассчитываются физико-технические характеристики, влияющие на качество электроэнергии. Центральным показателем при этом является коэффициент несимметрия напряжения KU2, на основе которого формируется значение функции приспособленности J. Именно это значение и определяет, насколько «оптимальная» та или иная хромосома.

Этап включает:

— численное определение коэффициента несимметрии;

— вычисление итогового значения функции приспособленности.

Значения функции приспособленности позволяют оценить хромосомы: чем ниже J, тем более пригодным считается данный набор параметров. Это позволяет выделить особей, которые будут участвовать в формировании следующего поколения.

Этап 3. Селекция (отбор родителей)

На данном этапе из исходной популяции выбираются наиболее приспособленные особи, которые будут использоваться для генерации следующего поколения. Цель селекции — сохранить и распространить успешные характеристики, обнаруженные в текущем поколении, за счёт предпочтительной передачи их потомкам.

Селекция обеспечивает эволюционную направленность алгоритма: именно отбор лучших хромосом с точки зрения функции приспособленности позволяет ГА постепенно приближаться к оптимальному решению. При этом важно сохранить и некоторое разнообразие, чтобы не застрять в локальном минимуме.

Для каждого индивидуума известно значение функции приспособленности J. Хромосомы с меньшими значениями J считаются более «сильными» и имеют больше шансов попасть в следующее поколение.

В данной реализации применяется детерминированный отбор: в новое поколение безусловно проходят хромосомы с наименьшими значениями функции J. Такой подход часто используется в инженерных задачах, где требуется быстрое приближение к минимуму и допустимо небольшое снижение разнообразия популяции.

Важные особенности:

— отбор можно выполнять разными методами (рулетка, турнир, ранжирование), но детерминированный отбор обеспечивает наивысшую селекционную точность.

— однако этот метод увеличивает риск преждевременной сходимости, так как слабые хромосомы полностью исключаются и не оставляют генетического разнообразия.

Хромосома 3 была исключена из-за худшего значения функции приспособленности. Выбранные хромосомы будут использоваться как родители на следующем этапе — скрещивания.

Этап 4. Скрещивание (кроссовер)

Скрещивание (кроссовер) представляет собой ключевой этап генетического алгоритма, на котором происходит обмен генетической информацией между отобранными хромосомами (родителями) с целью генерации новых хромосом (потомков), потенциально обладающих более высокими характеристиками приспособленности.

В данной работе применяется одноточечный кроссовер, при котором:

— выбирается фиксированная точка разрыва внутри хромосомы;

— потомок получает одну часть параметров от одного родителя, а вторую — от другого.

Пусть каждая хромосома описывается вектором из трех параметров:

Тогда одноточечный кроссовер можно записать как:

Этап 5. Мутация

Мутация — это механизм, обеспечивающий генетическое разнообразие в популяции и позволяющий алгоритму выйти из состояния локального оптимума. В контексте данной задачи мутация применяется к углам открытия тиристоров α, управляющим компенсационными устройствами в системе ЭДП.

Цель мутации заключается в том, чтобы внести небольшие случайные изменения в параметры потомков, тем самым обеспечивая исследование ближайших областей пространства решений. Это позволяет алгоритму не застревать в локальных минимумах, сохранять генетическое разнообразие популяции и повышать вероятность нахождения глобально оптимального решения.

На основе инженерных допусков и моделирования системы компенсации установлено, что изменение угла открытия тиристора в пределах ±5° не вызывает значительных технологических колебаний, но при этом позволяет протестировать локальное пространство параметров на наличие более эффективных решений. Это даёт оптимальный баланс между стабильностью и поиском. В каждом потомке случайным образом выбирается один из управляющих параметров. В него вносится малое случайное изменение:

Этап 6. Повторная оценка новой популяции

После выполнения операций скрещивания и мутации формируется новая популяция, содержащая потомков с модифицированными значениями управляющих параметров. На данном этапе проводится повторный расчёт функции приспособленности для всех новых хромосом с целью оценки их эффективности в условиях изменённого параметрического пространства.

Для каждой особи повторно моделируются режимы работы системы, и вычисляется значение коэффициента несимметрии напряжений KU2, на основании которого пересчитывается целевая функция J. Полученные значения отражают качество новых решений и позволяют сравнивать их с результатами предыдущих поколений.

Как показано в таблице, хромосома с параметрами αA=58°, αB=71° и αC=73° демонстрирует наименьшее значение функции приспособленности J = 1725,6, что свидетельствует о её эффективности. Эта хромосома может быть признана наилучшим решением текущей итерации и использоваться в качестве базовой при формировании следующего поколения или при завершении алгоритма.

Таким образом, в данной работе исследована проблема фазной несимметрии напряжений в системах электроснабжения электродуговых печей и предложен интеллектуальный метод её снижения на основе оптимизации углов открытия тиристоров. Показано, что электродуговые печи, являясь динамической и нелинейной нагрузкой, существенно ухудшают качество электроэнергии даже при использовании трансформаторов с Δ-соединением, что обусловливает необходимость применения адаптивных методов компенсации. Обоснована эффективность фазно-управляемой компенсации реактивной мощности с индивидуальным управлением по фазам, а для решения задачи оптимального выбора углов открытия тиристоров применён генетический алгоритм, учитывающий нелинейность и динамичность режимов работы электродуговой печи. Результаты моделирования показали значительное снижение коэффициента несимметрии напряжений и более равномерное распределение реактивной мощности между фазами, при этом использование генетического алгоритма обеспечивает высокую устойчивость и адаптивность системы компенсации в условиях быстро изменяющейся нагрузки, повышает качество электроэнергии и энергетическую эффективность системы электроснабжения металлургических предприятий, что подтверждает целесообразность применения интеллектуальных алгоритмов управления для компенсации фазной несимметрии в промышленных энергетических системах.

Язык статьи:
Действия с выбранными: